今天是:2025年12月04日
繁
适老模式
无障碍浏览
公众用户空间
搜索
首页
政府信息公开
工作动态
办事服务
业务管理
交流互动
专项工作
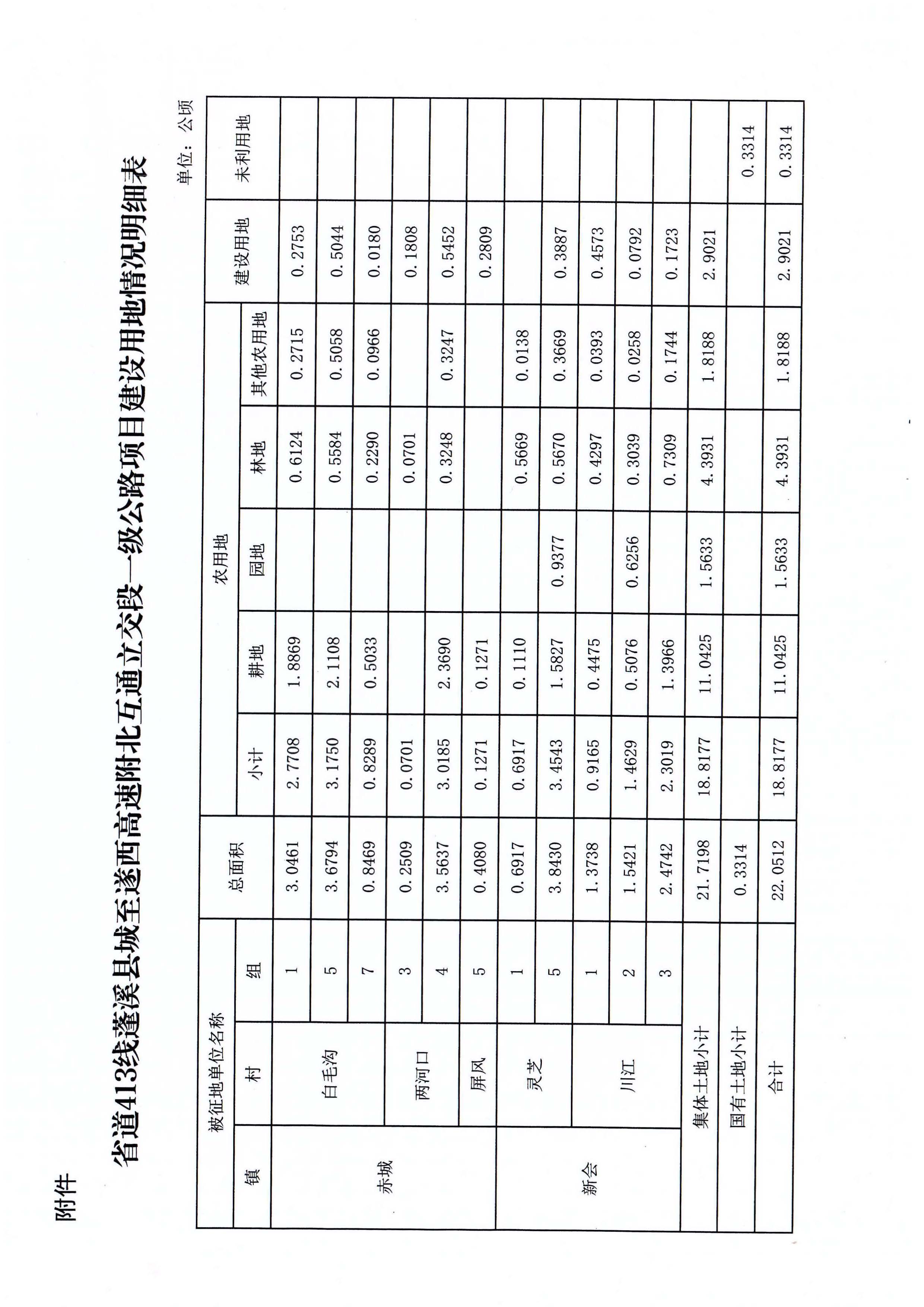
四川省人民政府关于省道413线蓬溪县城至遂西高速附北互通立交段一级公路项目建设用地的批复
来源: 市自然资源和规划局
栏目:
发布时间: 2023-09-27 15:54
阅读:
字体: [
大
中
小
]
打印
分享: